반응형
2025년 대우공무원수당 조견표, 규정, 6급 소요기간
한눈에 보는 대우공무원수당 핵심 요약
- 지급률: 대우공무원으로 선발되면 월봉급액(기본급)의 4.1%를 수당으로 받습니다. 공식 보수체계 문서에 명시되어 있습니다.
- 선발 대상과 근거: 「공무원임용령」 제35조의3, 「공무원수당 등에 관한 규정」의 대우공무원수당 조항을 근거로 운영됩니다.
- 2024-2025 변경 포인트: 6급-9급 선발 필요 재직기간이 5년 → 4년으로 단축, 연구·지도직은 10년 → 9년. 국가직·지방직에 공통 적용 방향입니다.
- 2025년 기본급 기준: 인사혁신처가 공개한 2025년 봉급표(별표 3 등)를 기준으로 6급 호봉별 기본급을 확인할 수 있습니다. 본 글의 6급 수당 예시는 이 봉급표를 바탕으로 계산했습니다.
대우공무원 제도 이해하기


제도의 취지
- 승진 정체로 장기 재직하는 우수 인력에게 상위 직급에 준하는 경제적 보상을 제공해 사기와 조직 효율을 높이기 위한 장치입니다.
- 선발은 ‘바로 상위 직급의 대우’를 의미하지만, 직급 자체가 바뀌는 승진과는 구별됩니다.
법적 근거와 구조
- 선발 근거: 「공무원임용령」 제35조의3.
- 수당 근거: 「공무원수당 등에 관한 규정」의 대우공무원수당 조항(월봉급 4.1%).
2024-2025년 달라진 점 정리
6급 소요기간 요건 완화
- 일반직 6급-9급: 5년 → 4년
- 연구직·지도직: 10년 → 9년
- 정부는 ‘업무집중 여건 조성방안’에서 이 개편 방향을 공식화했습니다. 이후 관련 예규·지침 개정이 이어졌습니다.
규정상 실적·결격 요건
- 승진임용 제한사유가 있거나, 근무실적이 현저히 부적절한 경우는 선발에서 제외됩니다(실적요건 및 결격사유 관련 규정).
대우공무원수당 지급 기준 - 계산 공식과 상한
기본 공식
- 대우공무원수당(월): $ \text{수당} = \text{ROUND}(\text{기본급} \times 0.041,;10\text{원 단위}) $
- 실무에서는 보수지급 체계에 맞춰 10원 단위 반올림(또는 절사/절상)이 적용됩니다. 기관 회계 처리 기준을 따르세요.
- 인사혁신처 보수체계 페이지에도 ‘대우공무원수당(월봉급액의 4.1%)’이 명시되어 있습니다.
상한(캡) 규정의 개념
- ‘기본급 + 대우공무원수당’ 합계가 상위 직급으로 승진 시 적용될 월봉급액을 초과할 수 없습니다. 초과분은 깎여서 지급됩니다. 실무적으로는 “상위직급 승진호봉 월급 − 현직급 월급”이 최대치가 됩니다.
감액 지급
- 정직·감봉·직위해제·휴직 등으로 봉급이 감액될 때는, 관련 별표 구분에 맞춰 대우공무원수당(가산금 포함)도 함께 감액됩니다.
2025년 6급 대우공무원 수당 조견표 - 대표 구간
아래 수치는 인사혁신처 2025년 일반직 봉급표의 6급 기본급을 바탕으로, 4.1% 계산 공식을 적용해 10원 단위 반올림한 예시입니다. 기관별 처리 규칙, 상한 적용, 승진호봉 산정 등으로 실제 지급액과 소폭 차이가 날 수 있습니다.

- 1호봉 - 기본급 2,308,700원 - 대우수당 94,660원
- 2호봉 - 기본급 2,416,100원 - 대우수당 99,060원
- 3호봉 - 기본급 2,526,800원 - 대우수당 103,600원
- 4호봉 - 기본급 2,640,000원 - 대우수당 108,240원
- 5호봉 - 기본급 2,756,600원 - 대우수당 113,020원
- 6호봉 - 기본급 2,876,400원 - 대우수당 117,930원
- 7호봉 - 기본급 2,996,600원 - 대우수당 122,860원
- 8호봉 - 기본급 3,117,100원 - 대우수당 127,800원
- 9호봉 - 기본급 3,238,000원 - 대우수당 132,760원
- 10호봉 - 기본급 3,351,400원 - 대우수당 137,410원
- 11호봉 - 기본급 3,458,900원 - 대우수당 141,810원
- 12호봉 - 기본급 3,564,800원 - 대우수당 146,160원
- 13호봉 - 기본급 3,664,400원 - 대우수당 150,240원
- 14호봉 - 기본급 3,758,500원 - 대우수당 154,100원
- 15호봉 - 기본급 3,848,900원 - 대우수당 157,800원
- 16호봉 - 기본급 3,933,600원 - 대우수당 161,280원
- 17호봉 - 기본급 4,014,400원 - 대우수당 164,590원
- 18호봉 - 기본급 4,090,900원 - 대우수당 167,730원
- 19호봉 - 기본급 4,163,400원 - 대우수당 170,700원
- 20호봉 - 기본급 4,231,500원 - 대우수당 173,490원
- 21호봉 - 기본급 4,297,200원 - 대우수당 176,190원
- 22호봉 - 기본급 4,358,900원 - 대우수당 178,710원
- 23호봉 - 기본급 4,416,700원 - 대우수당 181,080원
참고: 위 기본급 수치는 인사혁신처 2025년 봉급표(별표 3)의 6급 열을 사용했습니다. 상위 호봉 일부는 화면 표 구성상 줄바꿈으로 파편화되어 실무 산정 시 e-사람 또는 기관 보수담당 확인을 권장합니다.
직종별 참고 - ‘같은 6급’이라도 기본급이 다르면 수당도 달라집니다
공안업무 등에 종사하는 공무원(경찰·검찰·교정·소방 등 포함) 대우공무원 수당 조견표


- 예시 기본급(2025년 봉급표, 6급):
- 1호봉 2,481,500원 → 수당 약 101,740원
- 10호봉 3,524,100원 → 수당 약 144,490원
- 20호봉 4,404,300원 → 수당 약 180,580원
- 공안직은 같은 호봉에서도 일반직보다 기본급이 높아 대우수당도 커집니다.
우정직 대우공무원 수당 조견표 (일반직 우정직군)

- 우정6급은 일반직 6급과 동일 열을 따르는 구간이 많아 대우수당 산식도 동일하게 적용합니다. (예: 우정6급 10호봉 기본급 3,351,400원 → 수당 137,410원)
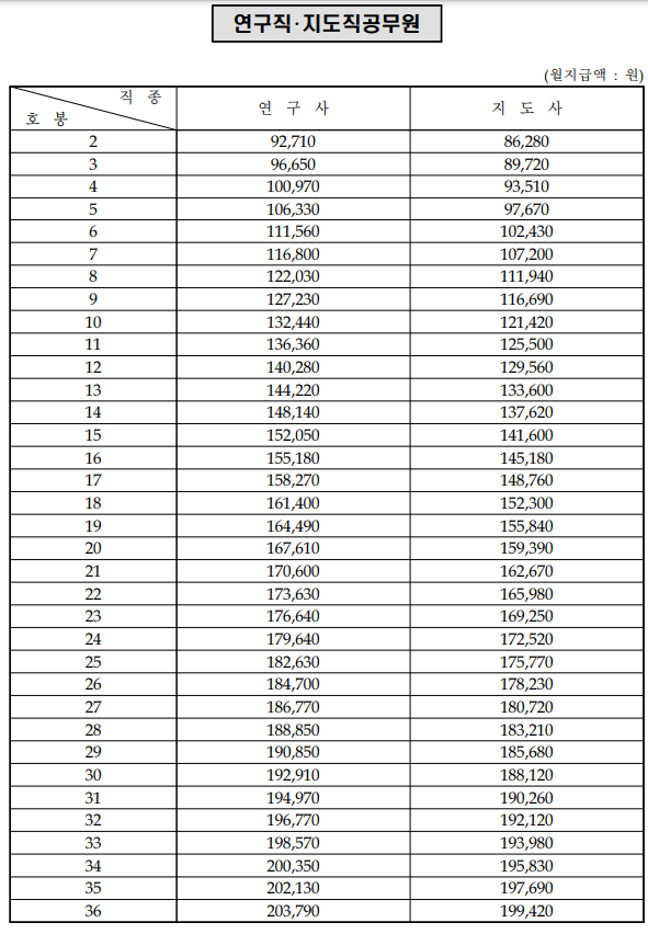
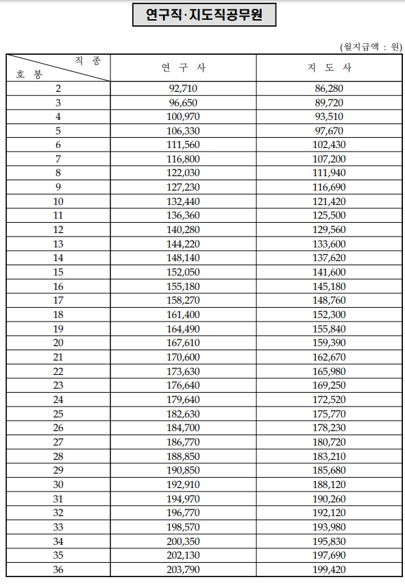
연구직·지도직 대우공무원 수당 조견표

- 선발 재직기간 요건이 9년으로 완화되었고, 수당은 해당 직군 봉급표의 기본급 × 4.1%로 계산합니다.
선발 요건과 절차 - 6급 기준 체크리스트
재직기간 요건
- 6급은 4년 이상 재직이 기본선입니다(승진임용 제한기간 제외).
실적 요건 및 결격
- 승진임용 제한사유가 있거나, 근무실적이 불량한 경우는 선발 불가입니다. 기관 인사위원회 심의로 판단합니다.
선발 시기·발령
- 기관은 대우공무원 발령일 기준으로 요건 충족자를 선발해 월 단위로 발령 처리합니다. 보통 매월 말~초에 결재가 이뤄지며, 발령일이 포함된 달부터 수당이 반영됩니다(기관 인사지침 참조).
감액·상실 규정 요약
감액 지급
- 정직·감봉·직위해제·휴직 등으로 봉급이 감액되면, 대우공무원수당도 같은 기준표에 따라 감액됩니다. (대우수당 가산금 포함)
자격 상실
- 대우공무원으로 선발된 후 승진 임용되면 해당 직급에서의 대우공무원 자격은 일단 상실되며, 승진 직급에서 다시 요건을 채워 선발될 수 있습니다(기관 인사규정 참조 근거).
실무 계산 노트 - 엑셀/구글시트 예시
1) 기본 수당
- 셀 A2에 ‘기본급’이 있을 때
=ROUND(A2*0.041, -1)
2) 상한(캡) 반영
- 승진 시 적용될 5급 월봉급을 B2에 넣었다고 가정하면
=MIN(ROUND(A2*0.041,-1), B2 - A2)
- 로직 설명: 대우수당은 본래 4.1%이지만, 기본급 + 수당 ≤ 상위 직급(승진호봉) 월급을 만족해야 하므로 초과분은 자동으로 잘립니다.
6급 시뮬레이션 3가지
사례 1 - 6급 10호봉 일반직
- 기본급 3,351,400원 → 대우수당 137,410원 → 합계 3,488,810원
- 같은 호봉대의 5급 기본급(10호봉 3,929,300원)을 상한값으로 가정하면, 캡에 걸리지 않습니다.
사례 2 - 6급 23호봉 일반직
- 기본급 4,416,700원 → 대우수당 181,080원 → 합계 4,597,780원
- 5급 23호봉 기본급 5,106,900원보다 낮아, 역시 캡 미적용.
사례 3 - 공안직 6급 20호봉
- 기본급 4,404,300원 → 대우수당 180,580원 → 합계 4,584,880원
- 공안직은 기본급 자체가 높아 대우수당도 커집니다.
자주 묻는 질문(FAQ)
Q1. 대우공무원과 승진은 무엇이 다르나요?
- 대우공무원은 수당과 예우만 상향되는 제도입니다. 직급·직무권한은 그대로입니다. 승진은 법적 직급 자체가 바뀝니다.
Q2. 대우공무원수당은 언제부터 나오나요?
- 대우공무원 발령일이 속하는 달부터 적용하는 것이 원칙입니다. 기관별 집행일정에 따라 첫 지급 시점은 다음월 급여에 반영될 수 있습니다.
Q3. 징계나 휴직이 있으면 어떻게 되나요?
- 봉급이 감액되는 기간에는 대우공무원수당도 감액됩니다. 징계종류·기간별 감액 기준표를 적용합니다.
Q4. 연구직·지도직도 4.1%인가요?
- 네. 기본급이 다를 뿐, 대우공무원수당 산식(4.1%)은 동일합니다. 다만 선발 요건의 재직기간이 9년으로 완화되었습니다.
실무 체크리스트
- 선발 가능 재직기간 충족 여부 확인(6급은 4년 이상)
- 승진임용 제한사유 및 실적요건 검토
- 발령일 결정 및 보수 반영월 확인
- 상한(캡) 여부 검토 - 5급 승진호봉 월급과 비교
- 징계·휴직 등 감액 사유 존재 여부 확인
- 직종별 봉급표(일반직, 공안, 우정, 연구·지도) 중 본인 직군 확인
결론
2025년 대우공무원수당은 월 기본급의 4.1%라는 간결한 공식으로 계산되지만, 선발 요건(6급 4년), 상한(캡) 규정, 감액 사유 등을 꼼꼼히 체크해야 실제 수령액을 정확히 산출할 수 있습니다. 특히 6급의 경우 봉급표를 대입하면 호봉대별 대우수당 규모를 쉽게 추정할 수 있으며, 공안직·우정직·연구·지도직 등 직종별 봉급표 차이에 따라 결과가 달라집니다. 인사혁신처의 2025년 봉급표를 기준으로 본문 조견표와 계산식을 제공했으니, 기관 인사시스템(e-사람)과 대조해 최종 확정하시길 권합니다.
반응형