2026 공무원 봉급 인상률 – 3.5% 보수 인상 확정
2026년 공무원 봉급이 올해보다 3.5% 인상됩니다. 2026 공무원 봉급 인상률은 지난 2017년 이후 9년 만에 가장 큰 폭의 인상률이며, 정부는 '2026 공무원 봉급 인상률'을 통해 장기간 정체된 공무원 보수를 정상화하겠다는 방침을 밝혔습니다. 특히 2021년 코로나19 팬데믹 직후 0.9%까지 떨어졌던 인상률이 2022년 1.4%, 2023년 1.7%, 2024년 2.5%, 2025년 3.0%를 거쳐, 내년에 3.5%까지 올라온 점은 매우 의미가 큽니다.


이번 인상은 단순한 숫자 조정이 아니라, 민간 대비 뒤처진 공무원 임금을 보정하고, 공직 사회의 불만과 이탈을 완화하기 위한 정책적 조치로 풀이됩니다. 정부는 민생 안정과 더불어 공무원의 사기 진작을 동시에 노린 것입니다.
2026년 공무원 보수 인상률 3.5% – 의미와 배경
공무원 보수 인상률은 단순히 ‘급여가 얼마 올랐다’는 의미를 넘어, 사회 전반의 경제 상황과 직결됩니다.



- 물가 상승률과 비교: 내년도 한국은행 물가 상승률 전망치는 2.0% 수준, 최저임금 인상률은 2.9%입니다. 공무원 인상률 3.5%는 이를 상회합니다.
- 민간 임금과 격차: 2020년 민간 대비 90.5% 수준이던 공무원 임금은 2024년 83.9%까지 하락했습니다. 이번 인상은 격차 완화 목적이 있습니다.
- 공무원 인기 하락: 공시생 수는 2021년 31만 명에서 2024년 12만 9천 명으로 절반 이하로 줄었습니다. 5년 내 퇴직자도 급증해, 2019년 6,500명에서 2023년 1만 3,566명으로 배 이상 증가했습니다.
즉, 이번 인상률은 공무원 조직의 안정성과 인재 유입 문제를 해결하기 위한 불가피한 조치라 할 수 있습니다.



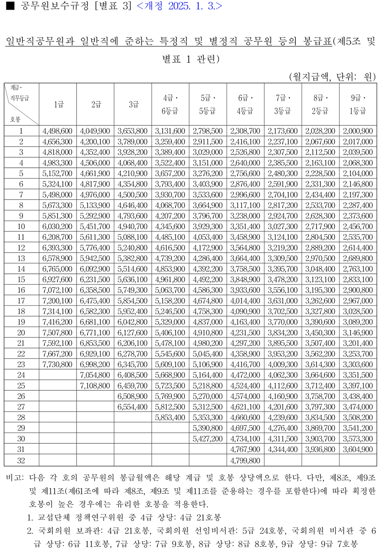
2026년 공무원 봉급표 (일반직렬)
2026년 9급 1호봉 초임은 월 2,070,900원으로 확정되었습니다. 이는 기본급만을 기준으로 한 금액이며, 각종 수당(정근수당, 가족수당, 직급보조비, 명절휴가비 등)을 포함하면 실수령액은 더 올라갑니다.
일반직렬의 주요 구간을 요약하면 다음과 같습니다.
- 1급 1호봉: 4,656,100원
- 4급 1호봉: 3,241,200원
- 6급 1호봉: 2,389,500원
- 7급 1호봉: 2,249,700원
- 8급 1호봉: 2,099,200원
- 9급 1호봉: 2,070,900원
9급 공무원이 임용될 경우 각종 수당을 포함하면 연 3,300만 원 이상이 실질 보수로 책정됩니다.




2026 교육공무원 봉급표
교원 봉급표는 교육공무원의 근속 호봉에 따라 결정됩니다.
- 1호봉: 1,982,100원
- 10호봉: 2,471,400원
- 20호봉: 3,481,000원
- 30호봉: 4,826,800원
- 40호봉: 6,205,700원
특히 교원 보수는 ‘호봉제’가 철저히 반영되어, 근속 연한이 길어질수록 임금 상승폭이 큽니다. 이는 교직의 안정성과 장기 근속을 장려하는 구조라 할 수 있습니다.

2026 경찰·소방 공무원 봉급표
치안과 안전을 책임지는 경찰과 소방 공무원의 봉급도 3.5% 인상분이 반영됩니다.
- 순경·소방사 1호봉: 2,000,900원
- 경위·소방위 1호봉: 2,352,400원
- 경정·소방령 1호봉: 3,020,400원
- 총경·소방정 1호봉: 3,496,600원
- 치안정감·소방정감 1호봉: 4,739,200원


정부는 2026년 예산에 경찰 신규 인력 6,400명 충원과 장비 현대화를 포함시켰습니다. 이는 국민 안전과 치안 강화 목적이며, 동시에 공무원 봉급 인상과 맞물려 조직 내 동기부여를 강화할 전망입니다.
2026 군인 봉급표
군인 급여 또한 인상률 3.5%가 반영됩니다. 병사 급여 인상은 청년 병사 처우 개선과 직결되며, 병장 기준 150만 원이 지급됩니다.
- 소위 1호봉: 2,087,900원
- 대위 1호봉: 2,805,000원
- 소령 1호봉: 3,382,700원
- 중령 1호봉: 4,105,800원
- 대령 1호봉: 4,671,200원
- 준장 1호봉: 5,753,700원
- 소장 1호봉: 6,099,000원
- 병사 급여: 이등병 75만 원, 일등병 90만 원, 상등병 120만 원, 병장 150만 원
군인의 경우, 병사 급여 인상률이 사회적으로 큰 관심을 끌고 있으며, 이는 병역의무 이행의 공정성과 청년 복지 차원에서 중요한 의미를 가집니다.



결론
2026년 공무원 봉급 인상률은 **3.5%**로 확정되며, 이는 9년 만에 가장 큰 폭의 상승입니다. 민간 대비 낮아진 보수를 정상화하고, 공직사회의 사기 저하와 인력 유출을 막기 위한 정부의 정책적 선택입니다.
- 일반직렬: 9급 1호봉 2,070,900원
- 교육공무원: 1호봉 1,982,100원
- 경찰·소방: 순경·소방사 1호봉 2,000,900원
- 군인: 병장 1,500,000원
내년도 공무원 보수 인상은 단순한 임금 인상이 아니라, 공공 서비스의 질과 국가 경쟁력을 좌우하는 중요한 조치라 할 수 있습니다.


