경찰공무원 봉급표 2025 순경 시보 월급, 수당
경찰공무원은 국민의 안전과 질서를 지키는 중추적인 역할을 맡고 있으며, 이에 걸맞게 봉급과 수당 체계가 다층적으로 구성되어 있습니다. 2025년은 경찰공무원의 기본 봉급과 수당 체계가 일부 개편되는 해로, 경찰대학생, 순경 시보, 그리고 각 계급별 경찰공무원의 보수 구조에 변화가 있었습니다.


본 글에서는 2025년 경찰공무원 봉급표와 수당 항목을 체계적으로 정리하고, 시보 경찰관의 실질적인 월급 수준까지 살펴보겠습니다.
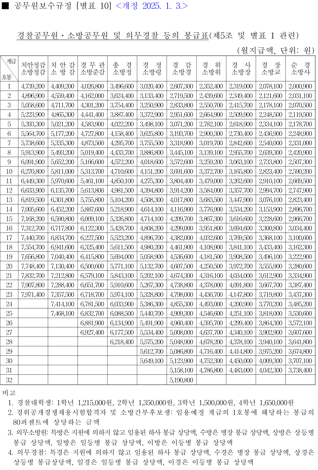
경찰공무원 봉급표 2025 (주요 계급 발췌)

- 순경 1호봉: 2,215,000원
- 경장 5호봉: 2,618,900원
- 경사 10호봉: 3,165,800원
- 경위 15호봉: 3,881,100원
- 경감 20호봉: 4,607,500원
- 경정 25호봉: 4,909,300원
- 총경 30호봉: 5,123,900원
상위 계급으로 갈수록 봉급 상승 폭은 커지며, 관리·지휘 직책을 맡는 간부 경찰일수록 각종 수당도 높아져 실수령액은 경찰공무원 봉급표 2025 이상의 차이가 납니다.

순경 봉급 및 시보 월급
순경은 경찰 조직의 출발점이자 가장 기초적인 계급입니다. 신규 임용자는 보통 1호봉에서 시작하며, 매년 호봉 승급이 이뤄집니다.
- 순경 1호봉: 2,215,000원 (2024년 2,148,000원에서 인상)
신규 임용자는 ‘시보’라는 수습 기간을 거치며, 이 기간에도 동일 계급·호봉의 봉급이 지급됩니다. 다만 일부 수당은 제한될 수 있으며, 시보를 무사히 마쳐야 정식 순경으로 임명됩니다.


시보 경찰관의 예상 실수령액
시보 경찰관은 순경 1호봉 봉급을 기준으로, 일부 수당이 제한될 수 있지만 대부분 지급됩니다.


- 기본 봉급: 2,215,000원
- 위험근무수당: 최대 160,000원
- 현장활동비: 200,000원
- 정액급식비: 140,000원
- 기타 수당(출동수당, 시간외수당 등): 약 50,000~100,000원
총합 세전 약 2,700,000원 수준으로, 세금과 4대 보험을 공제하면 실수령액은 약 240만~250만 원대입니다.



경찰대학생 보수
경찰대학은 장차 간부 경찰관을 양성하는 교육기관으로, 학생 신분이지만 군사학·법학·범죄학 등 특수교육과 강도 높은 훈련을 병행합니다. 따라서 일반 대학과 달리 재학 중에도 생활비 성격의 봉급이 지급됩니다.
- 1학년: 1,215,000원
- 2학년: 1,350,000원
- 3학년: 1,500,000원
- 4학년: 1,650,000원
이 금액은 매월 정액으로 지급되며, 기숙사 생활과 학업에 필요한 최소 생활비를 보장합니다. 경찰대학생은 졸업 후 일정 기간 의무 복무해야 하며, 이는 국가로부터 받은 지원을 사회에 환원하는 성격을 가집니다.

경찰공무원 수당 구조
경찰공무원은 단순히 봉급만으로 생활하기 어렵기 때문에 다양한 수당이 추가됩니다. 수당은 직무 위험성, 근무 환경, 특수 업무 수행 여부 등에 따라 달라집니다.
위험근무수당
- 최대 월 160,000원 (2025년 상향 조정)
- 시위 진압, 강력범 검거, 대테러 작전 등 고위험 현장에서 지급
현장활동비
- 지자체 근무 경찰: 월 170,000원
- 파출소·지구대 근무자: 월 200,000원
출동업무수당
- 112 긴급출동 시 사건당 3,000원
- 하루 최대 30,000원까지 지급
연구·정보 관련 수당
- 기술정보수당: 경정 이상 50,000원, 경사 이하 20,000원
- 연구업무수당: 경정 이상 60,000원, 경위 이하 40,000원
특수 근무 수당
- 항공·선박 근무자: 월 20만~63만 원 수준
- 정비사·전탐사: 계급별 17만~31만 원 이상



경찰공무원 명절휴가비와 정액급식비
모든 경찰공무원은 복리후생 차원에서 아래 항목을 지급받습니다.
- 정액급식비: 월 140,000원
- 명절휴가비: 설·추석에 각각 봉급의 60%
경찰공무원 보수 체계의 특징
- 위험성과 특수성 반영
일반 행정공무원과 달리 위험 수당, 출동 수당, 항공·선박 근무 수당 등 특수 보상이 강화되어 있습니다. - 호봉 승급제
매년 정기 승급을 통해 기본 봉급이 오르며, 근속연수와 경력 관리가 중요한 보수 상승 요인입니다. - 복리후생 지원
명절휴가비, 급식비 외에도 가족수당, 육아휴직수당 등 다양한 복지성 수당이 존재합니다.
결론






2025년 경찰공무원 봉급은 전년 대비 인상되어 초임 순경의 기본 봉급이 220만 원을 넘었고, 경찰대학생 생활비도 현실화되었습니다. 위험근무수당과 활동비 상향은 현장 경찰관들의 사기와 직무 집중도를 높이는 효과를 기대할 수 있습니다. 특히 시보 경찰관의 경우 실수령액이 240만 원대를 유지할 수 있어 안정적인 생활 기반을 마련할 수 있습니다. 앞으로도 경찰공무원 보수 체계는 사회적 요구와 직무 환경 변화에 맞춰 점진적으로 개선될 전망입니다.