군무원 월급 2024 봉급표
군무원은 국가의 방위와 안전을 위해 중요한 역할을 하는 직업입니다. 많은 사람들이 군무원이 되기 위해 노력하며, 그 이유 중 하나는 안정적인 월급과 다양한 혜택입니다. 이번 글에서는 2024년도 군무원의 봉급표에 대해 자세히 살펴보겠습니다. 특히 9급 군무원의 월급에 대해 중점적으로 다룰 예정입니다.
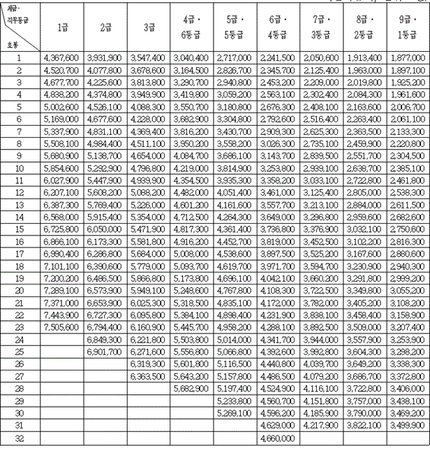
2024년 9급 군무원 봉급표
2024년도에는 군무원의 월급이 전년 대비 평균 2.5% 인상되었습니다. 초임 1호봉 기준으로 월급은 1,877,000원으로 책정되었습니다. 호봉이 올라갈수록 월급도 상승하며, 각 호봉별 월급은 다음과 같습니다:

- 1호봉: 1,877,000원 (전년 대비 6.0% 인상)
- 2호봉: 1,897,100원 (전년 대비 6.0% 인상)
- 3호봉: 1,925,200원 (전년 대비 5.7% 인상)
- 4호봉: 1,961,600원 (전년 대비 5.1% 인상)
이처럼 호봉이 올라갈수록 월급도 차근차근 상승하는 구조를 가지고 있습니다. 이러한 봉급 상승은 군무원들의 사기를 진작시키고 안정적인 생활을 지원하는 데 큰 도움이 됩니다.
9급 군무원 1년차 연봉 및 실수령액
9급 군무원의 1년차 연봉은 대략 30,170,000원 정도 됩니다. 이는 기본급과 각종 수당을 합친 금액입니다. 하지만 실수령액은 공제액을 제외한 금액으로, 대략 2,600,000원 정도입니다. 이는 세금, 연금, 보험료 등을 공제한 후의 금액을 의미합니다.
군무원의 초과근무 수당
군무원의 초과근무 수당은 초과근무 시간에 따라 지급됩니다. 군무원의 초과근무 시간은 한 달에 28시간으로 제한되며, 초과근무를 최대한 활용하면 월급은 더 많아질 수 있습니다. 이는 군무원들의 노고에 대한 적절한 보상으로, 경제적 안정을 더욱 강화하는 요소입니다.
군무원의 복리후생
군무원은 공무원으로서 다양한 복리후생을 누릴 수 있습니다. 주요 혜택으로는 공무원 연금, 가족수당, 직무수당 등이 있습니다. 또한 연가, 병가 등 휴가 제도가 잘 갖추어져 있어, 건강과 생활의 균형을 유지할 수 있습니다. 이러한 복리후생 제도는 군무원들이 오랜 기간 안정적으로 근무할 수 있는 환경을 조성합니다.
군무원과 공무원의 차이점
군무원은 군 공무원으로, 공무원과 동일한 혜택을 받습니다. 그러나 군무원은 군과 밀접하게 연관되어 있어 근무 조건이 군인과 유사합니다. 예를 들어, 일부 군무원은 총기 사용 훈련이나 혹한기 훈련에 참여해야 할 수도 있습니다. 이러한 점은 군무원의 특수성을 나타내며, 공무원과는 차별화되는 요소입니다.
결론
2024년 군무원의 월급은 전년 대비 인상되어, 군무원들의 경제적 안정을 더욱 강화하고 있습니다. 특히 9급 군무원의 경우 초임 1호봉 기준으로 1,877,000원의 월급을 받으며, 호봉이 올라갈수록 월급도 증가합니다. 군무원들은 다양한 복리후생과 초과근무 수당 등을 통해 안정적이고 풍요로운 생활을 누릴 수 있습니다.
키워드
군무원 월급, 2024 군무원 봉급표, 9급 군무원 월급, 군무원 복리후생, 군무원 초과근무 수당, 공무원 연금, 군무원 혜택, 군무원 근무 조건, 군 공무원, 군무원 연봉