공무원 봉급표 2025
2025년 1월 3일부터 시행된 대통령령 제35181호 ‘공무원 보수규정’ 개정안은 전체 평균 3% 인상이라는 숫자보다, 저연차 공무원 처우 개선이라는 정책적 방향성이 더욱 주목됩니다.



물가 상승률을 반영해 실질 임금을 지키고, 초기 임용 단계부터 생활 안정성을 높여 우수 인재 유입을 뒷받침하려는 시도입니다.
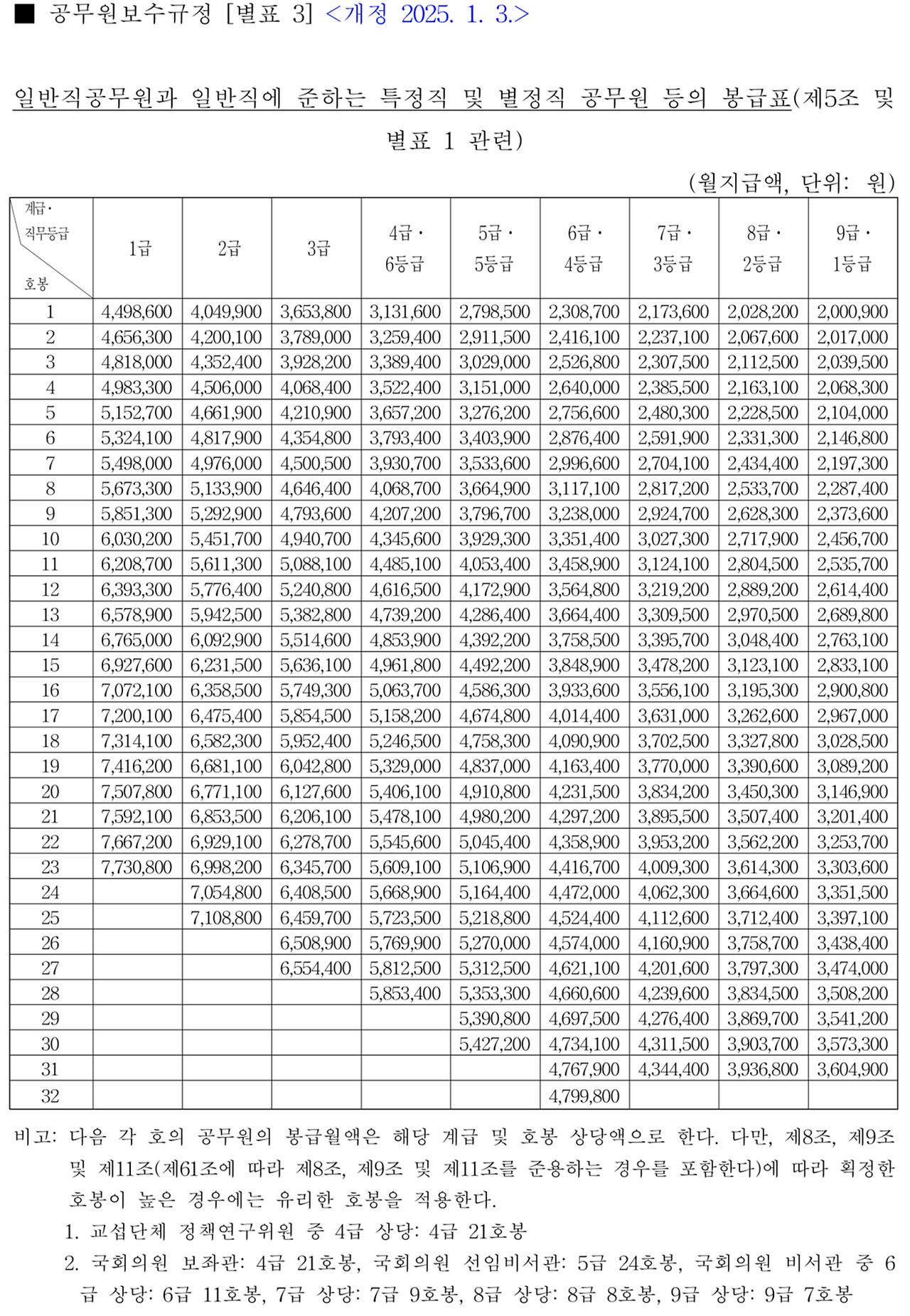
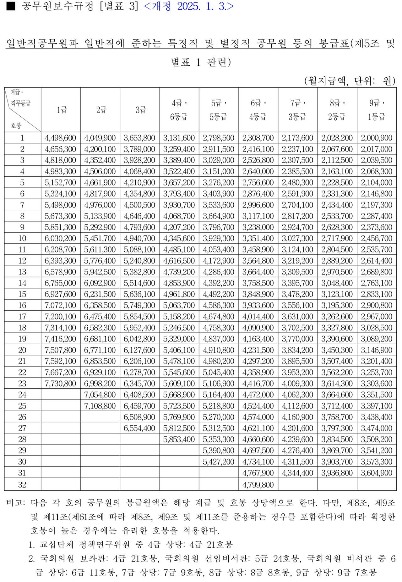
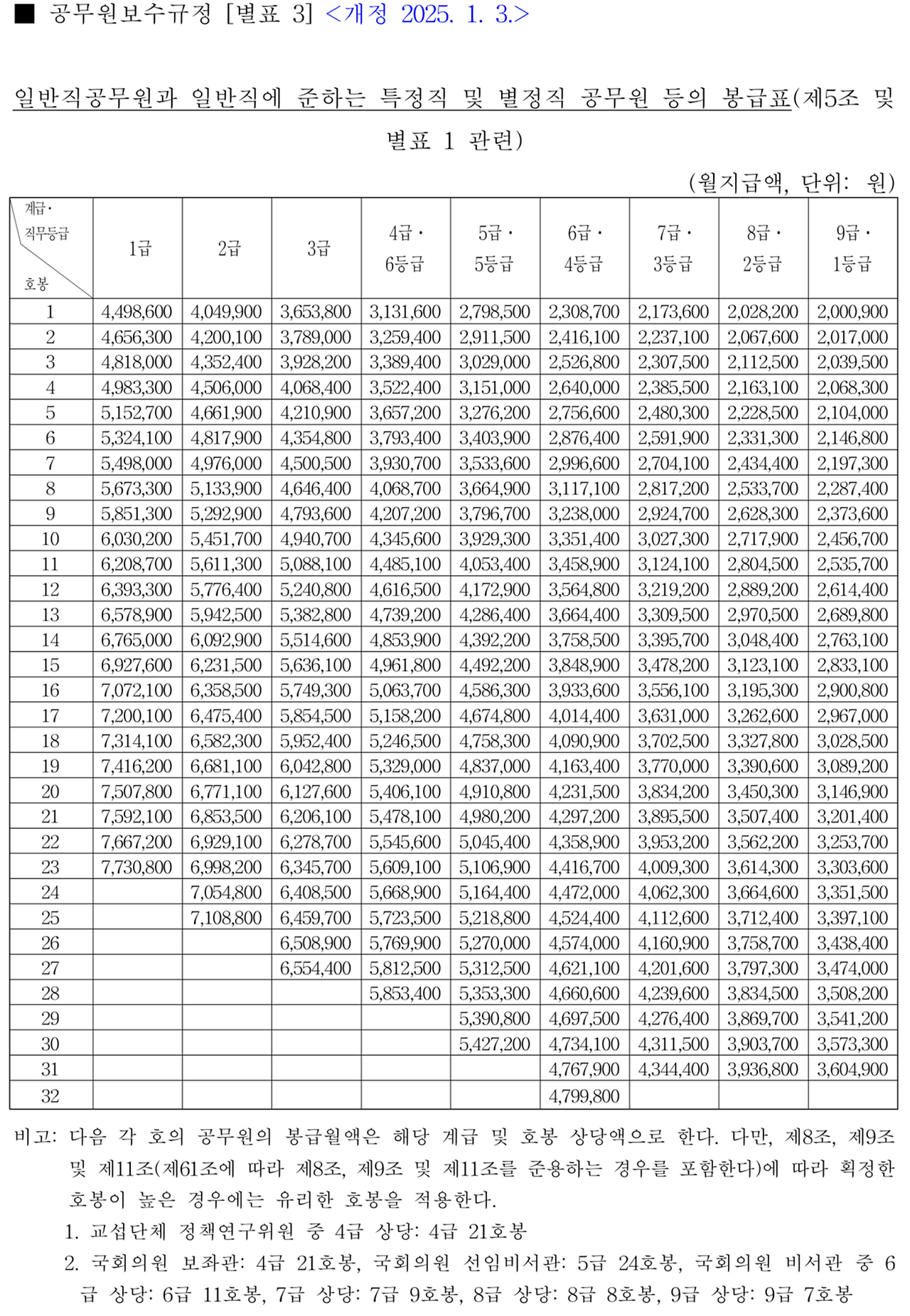
일반직 공무원 봉급표2025
이번 포스팅에서는 일반직, 교육직, 경찰·소방, 군인을 중심으로 공무원 봉급표2025를 살펴보고, 실무적으로 어떤 변화가 예상되는지 분석합니다.

▲ 개정 포인트
- 평균 3% 인상 외에 1-4호봉 구간 가중 인상
- 근속 승진 속도를 감안한 호봉 가이드 재정비
- 일부 직렬(세무·교정·노동 등) 현업 가산금 인상
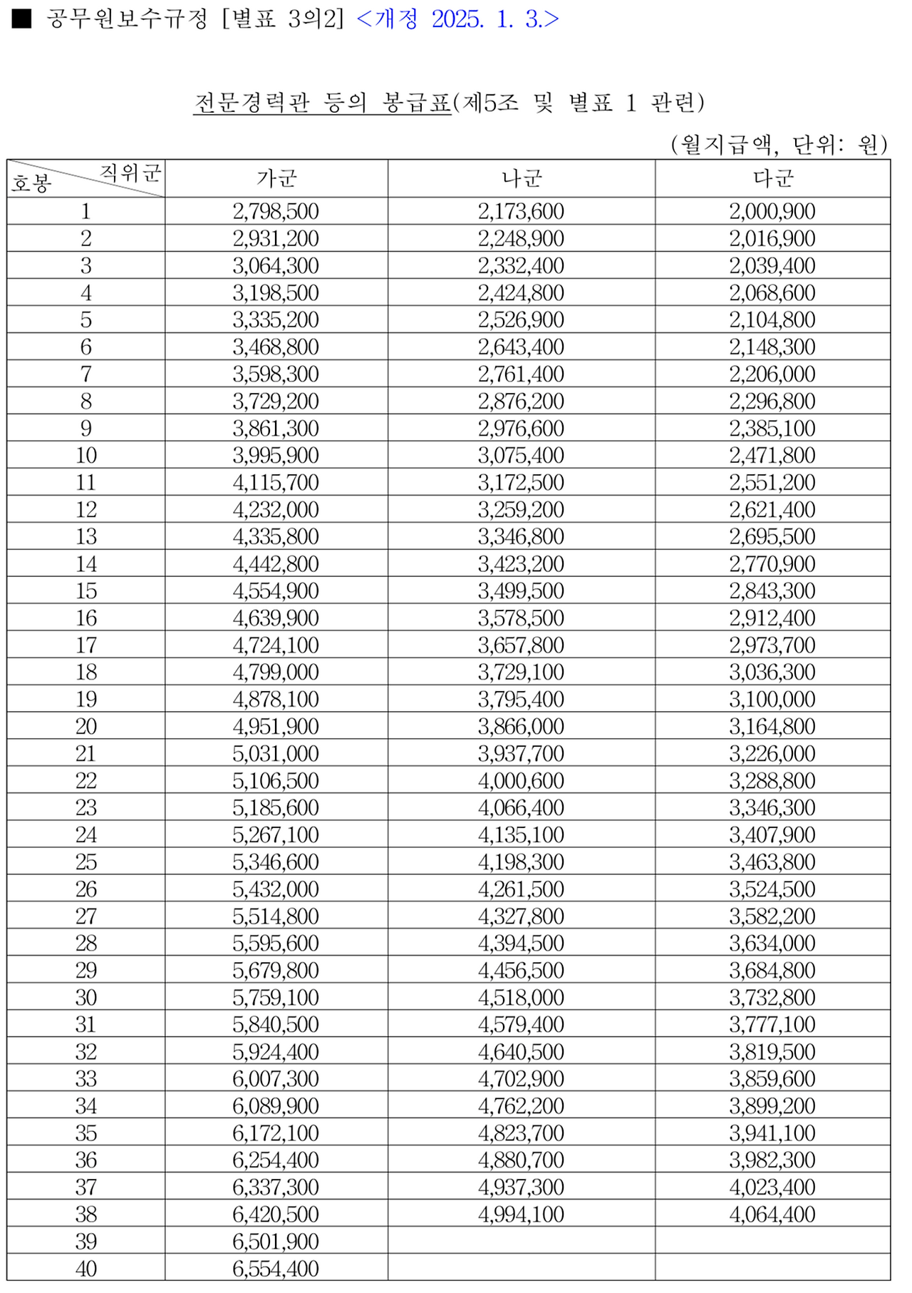
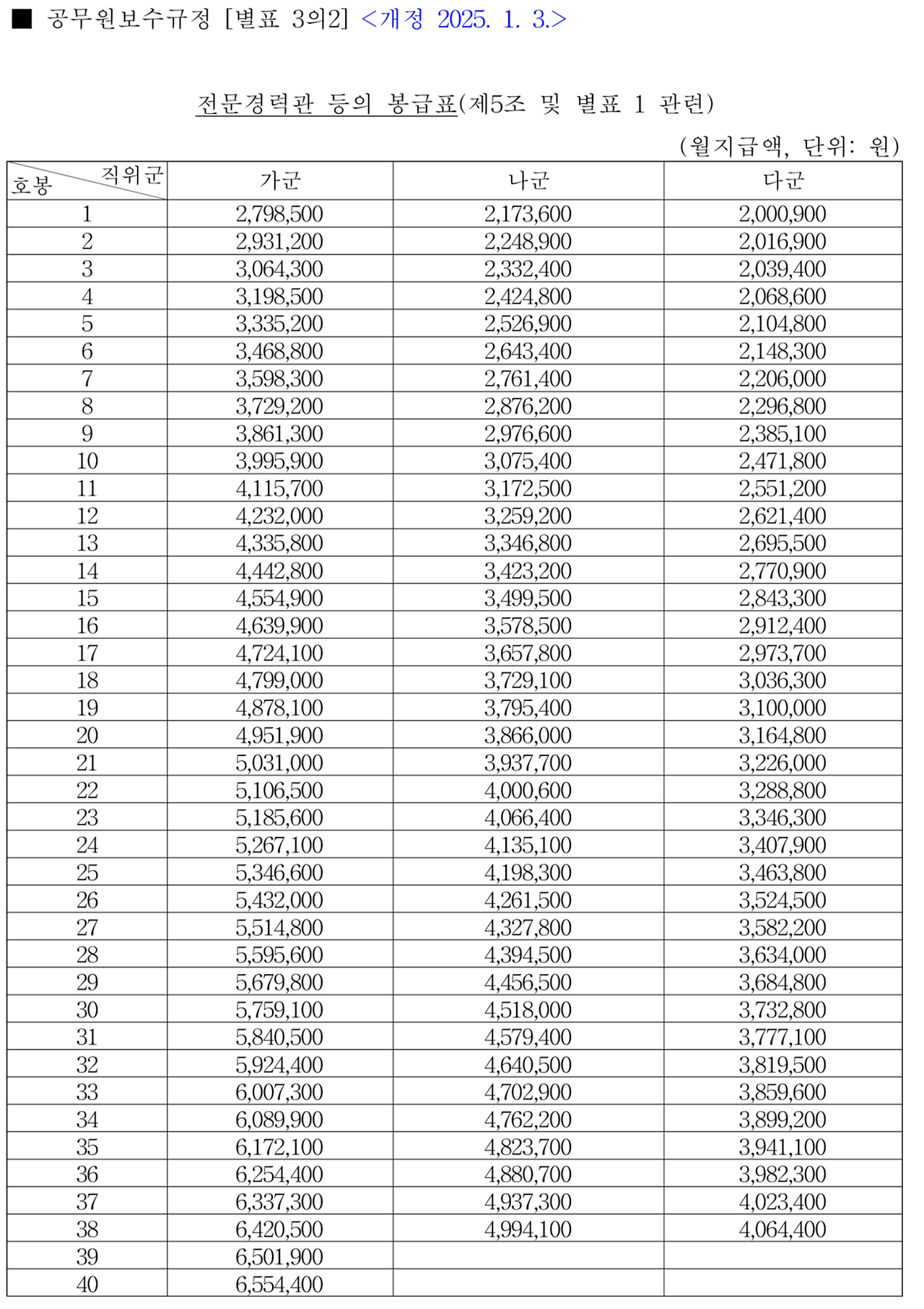
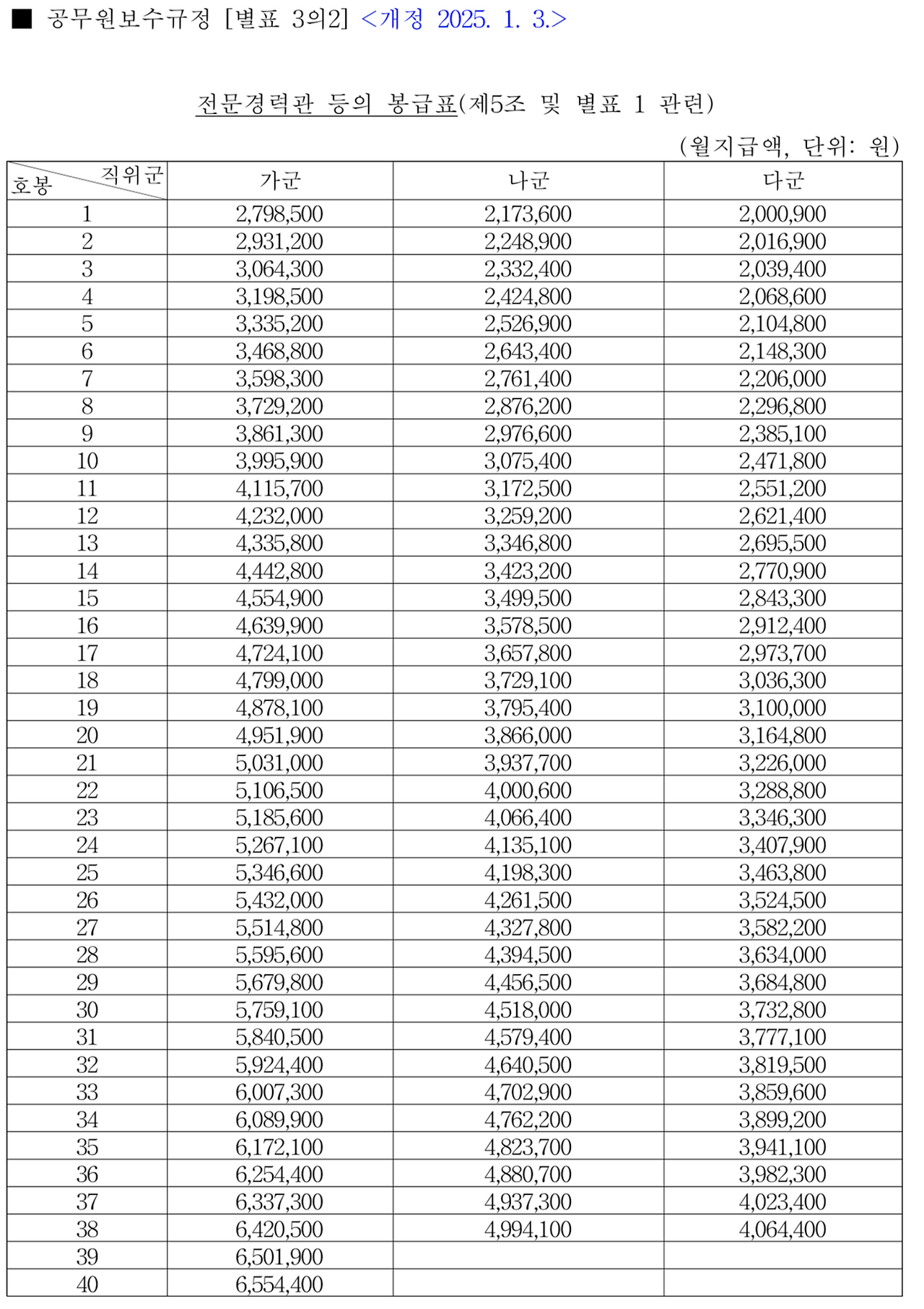
■ 일반직 계급·호봉별 월봉급(핵심 구간)
- 9급 1호봉: 1,944,000원 → 2,002,000원
- 9급 5호봉: 2,182,000원 → 2,247,000원
- 7급 1호봉: 2,407,000원 → 2,479,000원
- 5급(사무관) 3호봉: 3,380,000원 → 3,481,000원
Tip. 7급에서 6급 근속 승진까지 평균 12년이 소요되던 과거와 달리, 근속 가산점 상향으로 2025년 이후 10~11년대 진입이 가능할 전망입니다.
▲ 기타 수당 변화
- 정액급식비: 150,000원 → 155,000원
- 직급보조비(5·6급): 190,000원 → 196,000원
- 정근수당 하한액 상향으로 입직 2년차부터 체감
교육공무원(교원) 봉급 체계

▲ 개정 포인트
- 유치원·초·중·고 동일 비율 인상 적용
- 유·초등 저경력 교사 호봉 가산금 20% 인상
- 연구년제 도입 학교 교사에 연구수당 신설
■ 교사 월봉급(대표 호봉)
- 초등 1호봉: 2,226,000원 → 2,302,000원
- 중등 10호봉: 3,232,000원 → 3,329,000원
- 교감 15호봉: 4,596,000원 → 4,734,000원
- 교장 정액: 5,026,000원 → 5,177,000원
▲ 국립대학 교원 참조

- 조교수 3호봉: 3,821,000원 → 3,936,000원
- 교수 정액(학생 20,000명 이상 대학): 7,560,000원
Note. 기간제 교원은 고정급으로 월 2,050,000원(초등 기준)이며, 주당 수업시간 1시간당 12,000원 추가 지급 체계 유지.
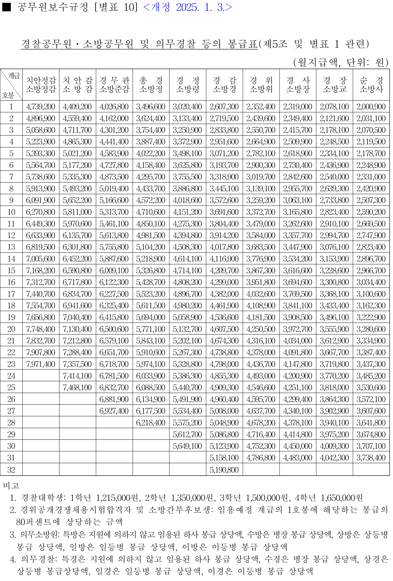
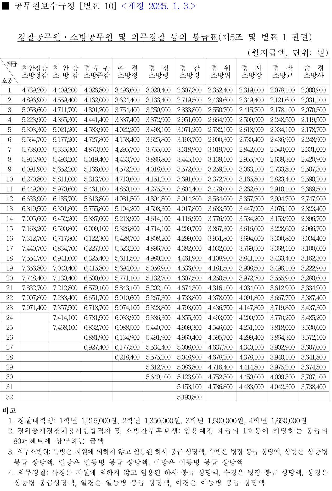
경찰·소방 공무원 봉급표

▲ 공통 개정 포인트
- 현장 위험직무수당 10% 상향
- 특수직무수당(과학수사·구조·화재진압) 계단식 인상
- 의무경찰·의무소방원은 병 기준 봉급 적용 + 10%
■ 경찰 계급별 월봉급
- 순경 1호봉: 2,088,000원 → 2,151,000원
- 경위 5호봉: 3,072,000원 → 3,164,000원
- 경정 15호봉: 4,459,000원 → 4,593,000원
■ 소방 계급별 월봉급
- 소방사 1호봉: 2,089,000원 → 2,152,000원
- 소방위 7호봉: 3,198,000원 → 3,294,000원
- 소방정 15호봉: 4,441,000원 → 4,574,000원
■ 경찰대학생·소방사관생도
- 1학년: 1,215,000원
- 4학년: 1,650,000원
현장 체감: 위험수당 인상으로 화재·구조·폭발물 처리 부서 평균 월 60,000원 추가.
군인 봉급 체계

▲ 개정 포인트
- 병 봉급 평균 18% 인상: 이등병 750,000원, 병장 1,500,000원
- 부사관 초임 3%+α, 조종·잠수 등 특수근무수당 유지
- 대장·중장 등 고정급 2% 인상으로 실질 구매력 방어
■ 간부 급여
- 대장: 9,293,500원
- 중장: 9,127,800원
- 소장: 8,762,000원
- 준장: 8,213,000원
■ 부사관·장교(주요 구간)
- 하사 1호봉: 2,200,900원 → 2,267,000원
- 소위 1호봉: 2,028,200원 → 2,089,000원
- 대위 6호봉: 3,289,000원 → 3,388,000원
■ 사관생도
- 1학년: 1,215,000원
- 4학년: 1,650,000원
Trend. 병 봉급 150만원 시대 진입으로 복무 중 소비 여력 확대, 국방부는 병영복지카드 한도를 12만원에서 15만원으로 상향 예정.
공통 수당 및 복리후생 변화
▲ 정액급식비·교통보조비
- 공무원 전 직군 정액급식비 155,000원
- 교통보조비 수도권 90,000원, 비수도권 70,000원
▲ 맞춤형 복지포인트
- 2025년 1인당 기본 450,000점 → 470,000점
- 3자녀 이상 다자녀 가정 공무원 100,000점 추가
▲ 가족수당·정근수당
- 배우자 수당 40,000원 → 45,000원
- 정근수당: 1호봉부터 적용, 하한액 300,000원




정책적 함의와 전망
■ 저연차 처우 개선의 긍정 효과
- 9급·순경·소방사 등 초임 생활안정성 제고 → 이탈률 감소 기대
- 인구감소 시대 청년층 공직 매력도 회복
■ 재원 마련 과제
- 총보수예산 3% 상승분 약 3.8조 원 필요
- 국세 증가율 둔화 시 지방재정 부담 가능성
■ 실무 적용 시 주의
- 호봉 인정 기준: 군경력·민간 경력 합산 시 증빙 강화
- 2024년 성과상여금 미지급분 정산 2025년 2월 급여에 포함
결론: 달라진 2025년 봉급표, 공직경력 설계의 기준
2025년 공무원 봉급표는 **명목 인상률 3%**라는 숫자 이면에 ‘저연차 중심 처우 개선’이라는 구조적 변화를 담고 있습니다. 초임 구간 인상은 공직 진입 장벽을 낮추고, 근속·전문성 축적을 유도하는 인센티브로 작용할 전망입니다. 반면, 국가·지방 재정 부담과 연금 재정 건전성이라는 숙제도 함께 남겼습니다.
공무원을 준비하거나, 이미 재직 중인 분이라면 이번 개정된 봉급 체계를 바탕으로 중장기 경력·재무 플랜을 재점검해 보길 권합니다.